
被檢測水樣在pH≤2 的條件下,用正己烷萃取樣品中的油類物質,經無水硫酸鈉脫水后,再用硅酸鎂吸附除去動植物油類等極性物質,其中的石油類物質經激發光源照射,分子產生躍遷,當分子從激發態返回到基態的振動能級時,以熒光形式釋放吸收的能量發出分子熒光。熒光強度在一定濃度范圍內與石油類含量成正比。
1.鹽酸:1.19g/ml。
2.正己烷,色譜純。
3.無水乙醇。
4.無水硫酸鈉。
于550℃下灼燒4h,冷卻后裝入磨口玻璃瓶中,置于干燥器內貯存。
5.硅酸鎂:60目-100目。
于550℃下灼燒4h,冷卻后稱取適量硅酸鎂于磨口玻璃瓶中,根據硅酸鎂的重量,按6%(m/m)的比例加入適量實驗室一級純水,密塞并充分振蕩數分鐘,放置12h,備用。
石油類標準貯備液:1000mg/L。
或直接購買市售正己烷體系適用于熒光分光光度法測定的有證標準物質。
7.石油類標準使用液:100mg/L。
吸取10.00ml石油類標準貯備液于100ml容量瓶中,用正己烷定容,搖勻,臨用現配。
8.玻璃棉。
用正己烷浸洗并晾干,置于干燥玻璃瓶中,備用。
9.硅酸鎂吸附柱。
將內徑10mm、長約200mm的玻璃層析柱出口處填塞少量玻璃棉,再將硅酸鎂緩緩倒入玻璃層析柱中,邊倒邊輕輕敲打,填充高度約為80mm。
1.采樣瓶:500ml 棕色硬質玻璃瓶。
2.熒光分光光度計:激發波長250-700nm;發射波長250-700nm。
3.比色皿:1cm石英熒光比色皿。
4.分液漏斗:1000ml,聚四氟乙烯旋塞。
5.錐形瓶:50ml,具塞磨口。
6.水平振蕩器。
7.離心機:配備玻璃離心管。
8.一般實驗室常用器皿和設備。

1.萃取
將水樣全部轉移至1000ml分液漏斗中,量取25.0ml正己烷洗滌水樣瓶后,全部轉移至分液漏斗中。充分振搖2min,期間經常開啟旋塞排氣,靜置分層后,將下層水相全部轉移至1000ml量筒中,測量水樣體積并記錄。
2.脫水
將萃取之后的水樣轉移至已加入3g無水硫酸鈉的錐形瓶中,蓋緊瓶塞,振搖數次,靜置。若無水硫酸鈉全部結塊,需補加無水硫酸鈉直至不再結塊。
3.吸附
繼續向萃取水樣中加入3g硅酸鎂,置于水平振蕩器上,振蕩20min,靜置沉淀。在玻璃漏斗底部墊上少量玻璃棉,過濾,待測。
準確移取0.00ml、0.10ml、0.50ml、1.00ml、5.00ml和10.00ml石油類標準使用液于6個50ml容量瓶中,用正己烷稀釋至標線,搖勻。標準系列濃度分別為0.00mg/L、0.20mg/L、1.00mg/L、2.00mg/L、10.0mg/L和20.0mg/L。在激發波長為310nm,發射波長為360nm條件下,使用1cm石英熒光比色皿,以正己烷作參比,測量熒光強度。以石油類濃度(mg/L)為橫坐標,以熒光強度為縱坐標,建立標準曲線。
檢測水樣
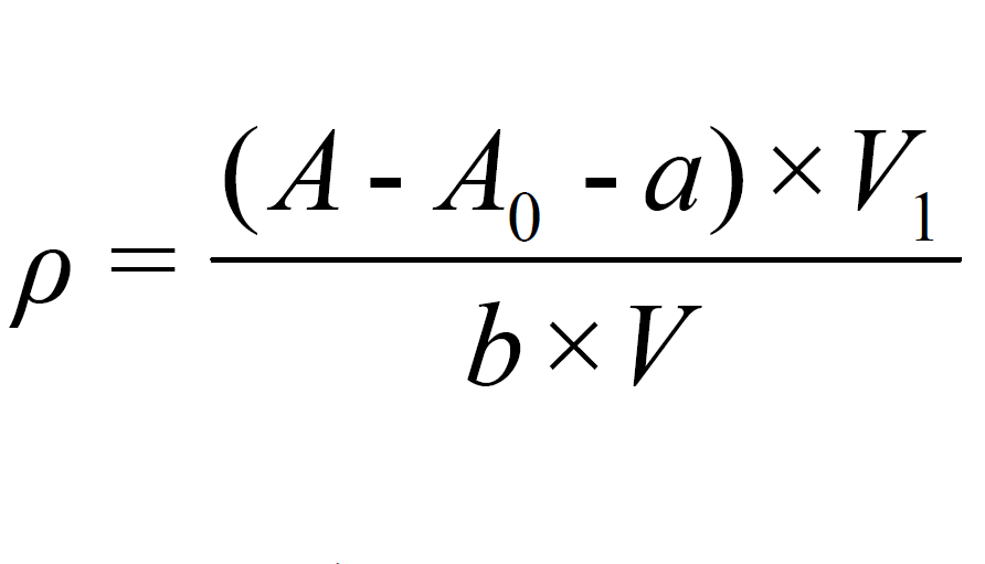
按照標準曲線的建立相同步驟對已經萃取制備好的水質樣品進行測定。空白試樣的測定按照同樣步驟檢測。最后水樣中石油類的質量濃度可以按照相應的公式進行計算得出。

此方法來源于《水質 石油類的測定 熒光分光光度法》